"Cep më Cep" - LVV shpenzoi 1.7 milion euro në fushatën zgjedhore

KQZ ka publikuar raportin financiar të fushatës zgjedhore të Lëvizjes Vetëvendosje për periudhën 16 gusht 2024 deri më 9 shkurt 2025, ku janë përfshirë të gjitha të hyrat dhe shpenzimet gjatë fushatës.
Sipas raportit të audituar LVV ka pasur të hyra gjatë fushatës në vlerë prej 1 milion e 112 mijë e 143 euro.

Shpenzimet e fushatë zgjedhore për zgjedhjet e 9 shkurtit kapën vlerën e 1 milion e 702 mijë e 036 euro, prej tyre më së shumti janë shpenzuar në reklama, reprezentacion dhe konferenca ku figurojnë 1 milion e 182 mijë e 518 euro.
199 mijë e 816 euro janë shpenzime të transportit, 36 mijë e 969 euro përfshijnë pagat dhe kompensimet.
Për spotet televizive dhe në radio LVV ka shpenzuar 212 mijë e 011 euro ku 4 mijë e 720 euro figurojnë si borxh në raport.


Në stendat e afishmit dhe reklamimet në gazeta janë shpenzuar 281 mijë e 198 euro ku borxh janë ende 155 mijë e 976 euro.
Konkretisht, LVV ka shpenzuar 589,892.81 euro më shumë sesa ka pasur në dispozicion nga të hyrat zyrtare.
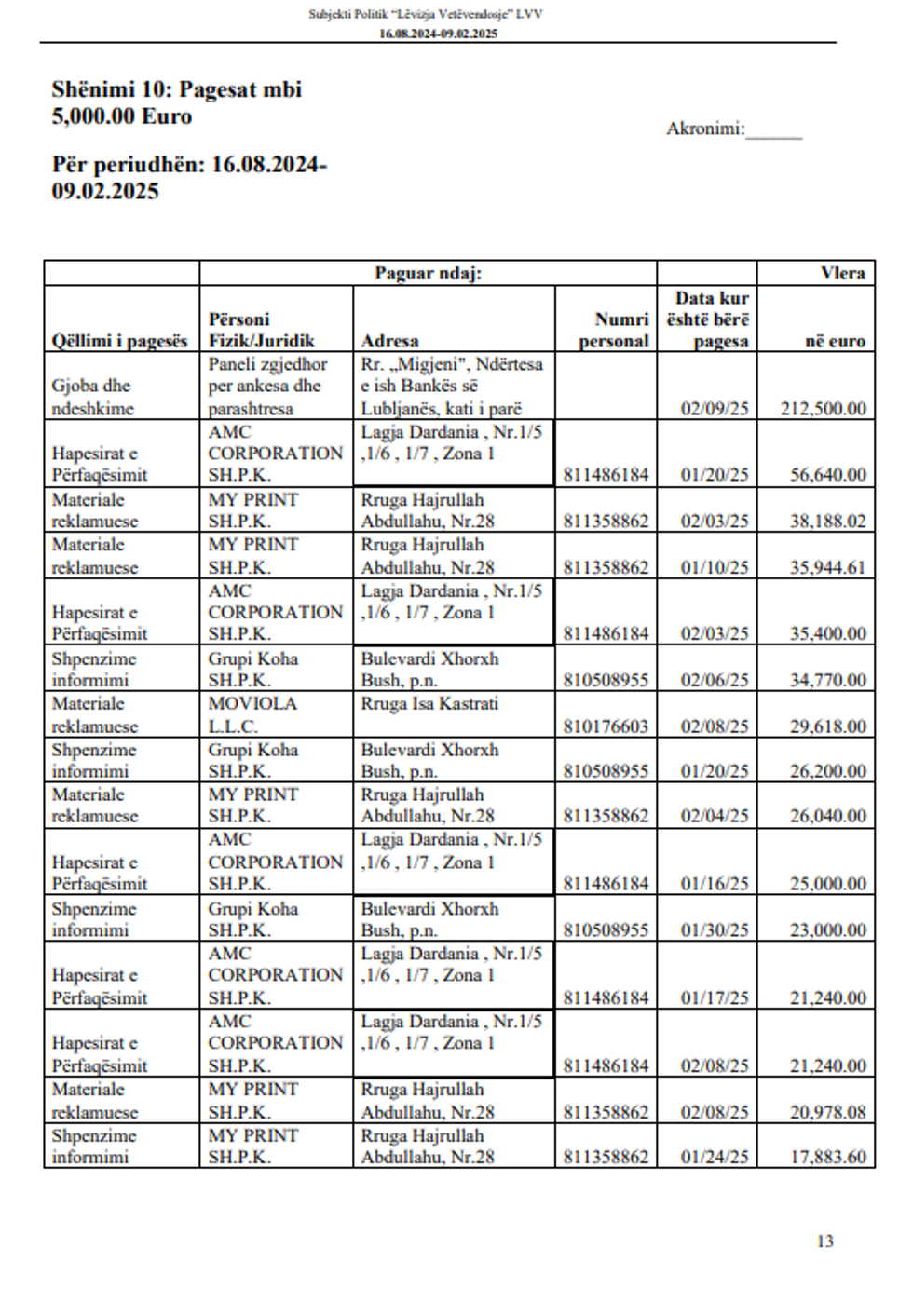
Raporti tregon gjithashtu se subjekti politik ka bërë pagesa të mëdha mbi 5,000 euro, ku totali kap shumën prej 909 mijë e 622 euro, prej të cilave 212 mijë e 500 euro janë paguar gjoba në Panelin Zgjedhor për Ankesa dhe Parashtresa (PZAP).

Raporti përmban edhe detaje nga donacionet kryesisht individuale.
Lista e donatorëve për LVV-në përfshin emra nga komuna të ndryshme të Kosovës.
Ky raport i detajuar është pjesë e kërkesave të financimit transparent të fushatave zgjedhore dhe është dorëzuar për auditim si pjesë e përmbushjes së obligimeve ligjore nga subjektet politike në Kosovë.
Raportin e plotë e gjeni KËTU. /Telegrafi/




















































