Ministria e Mbrojtjes publikon listat e kandidatëve që kanë kaluar të gjitha fazat për rekrut në FSK

14:"Ridvan Slivova
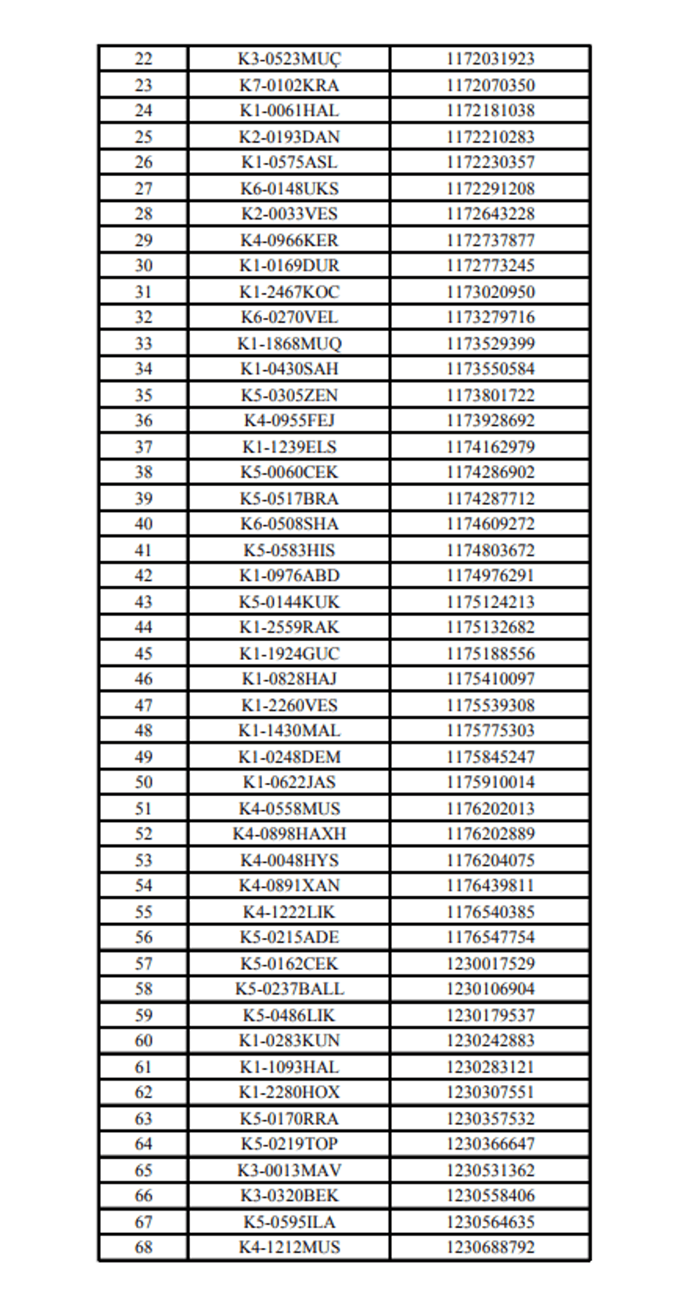
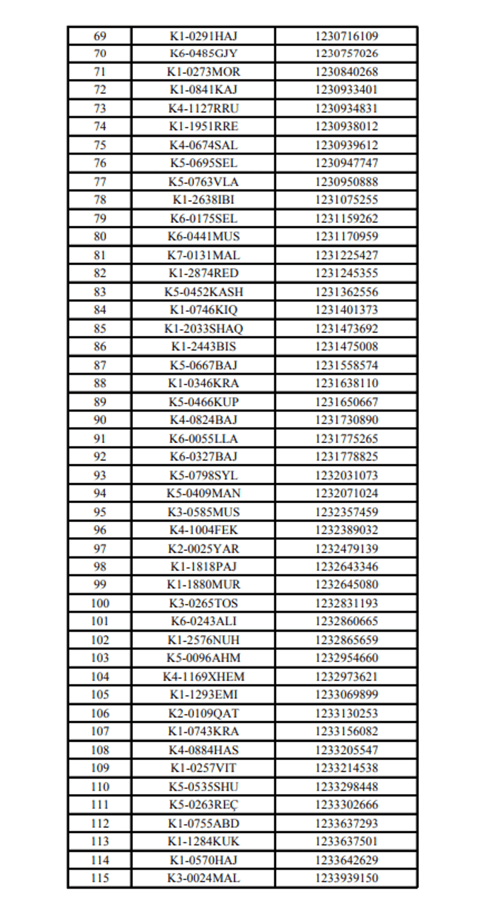
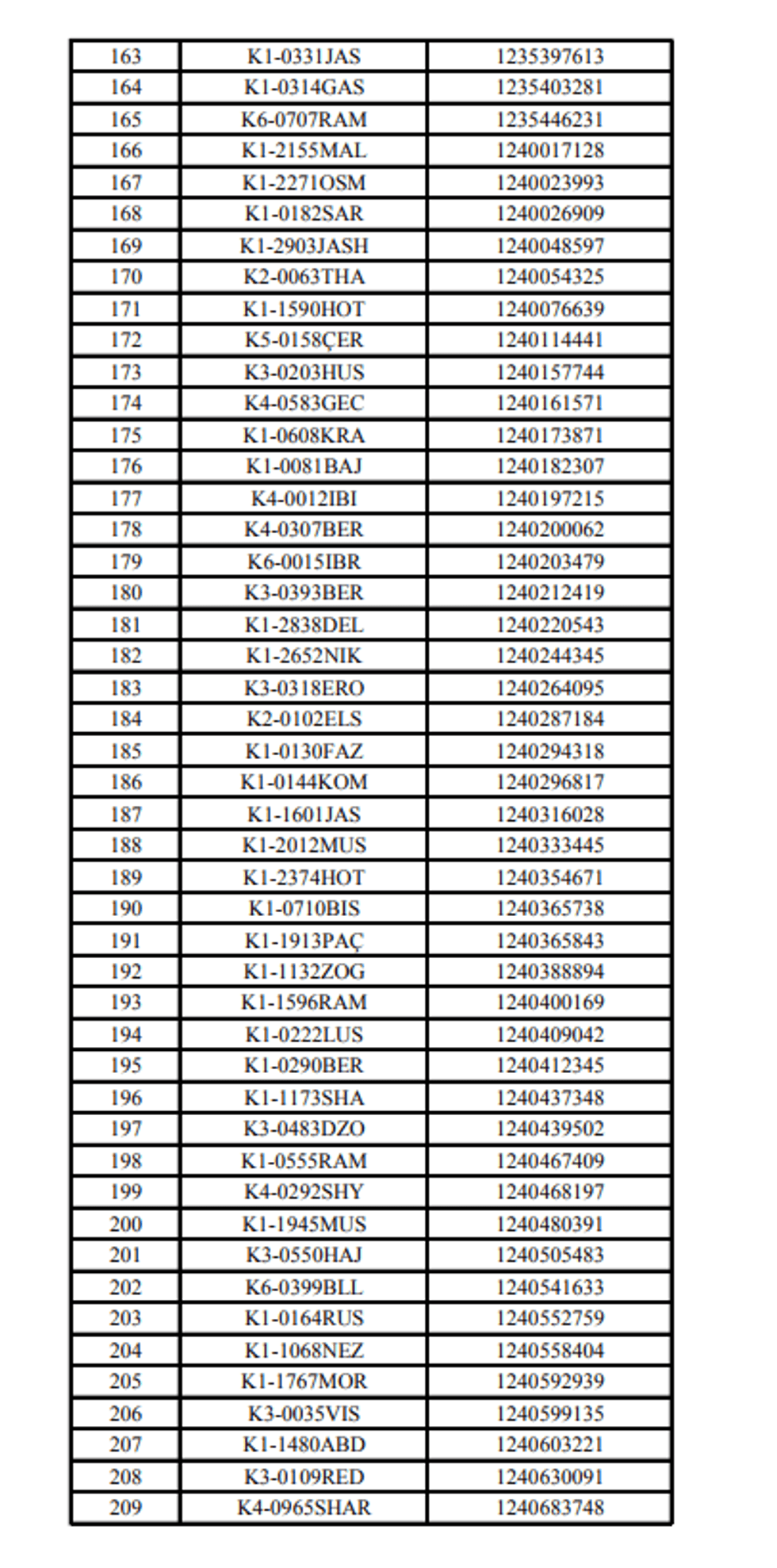
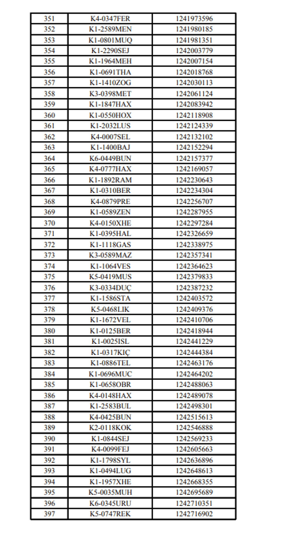
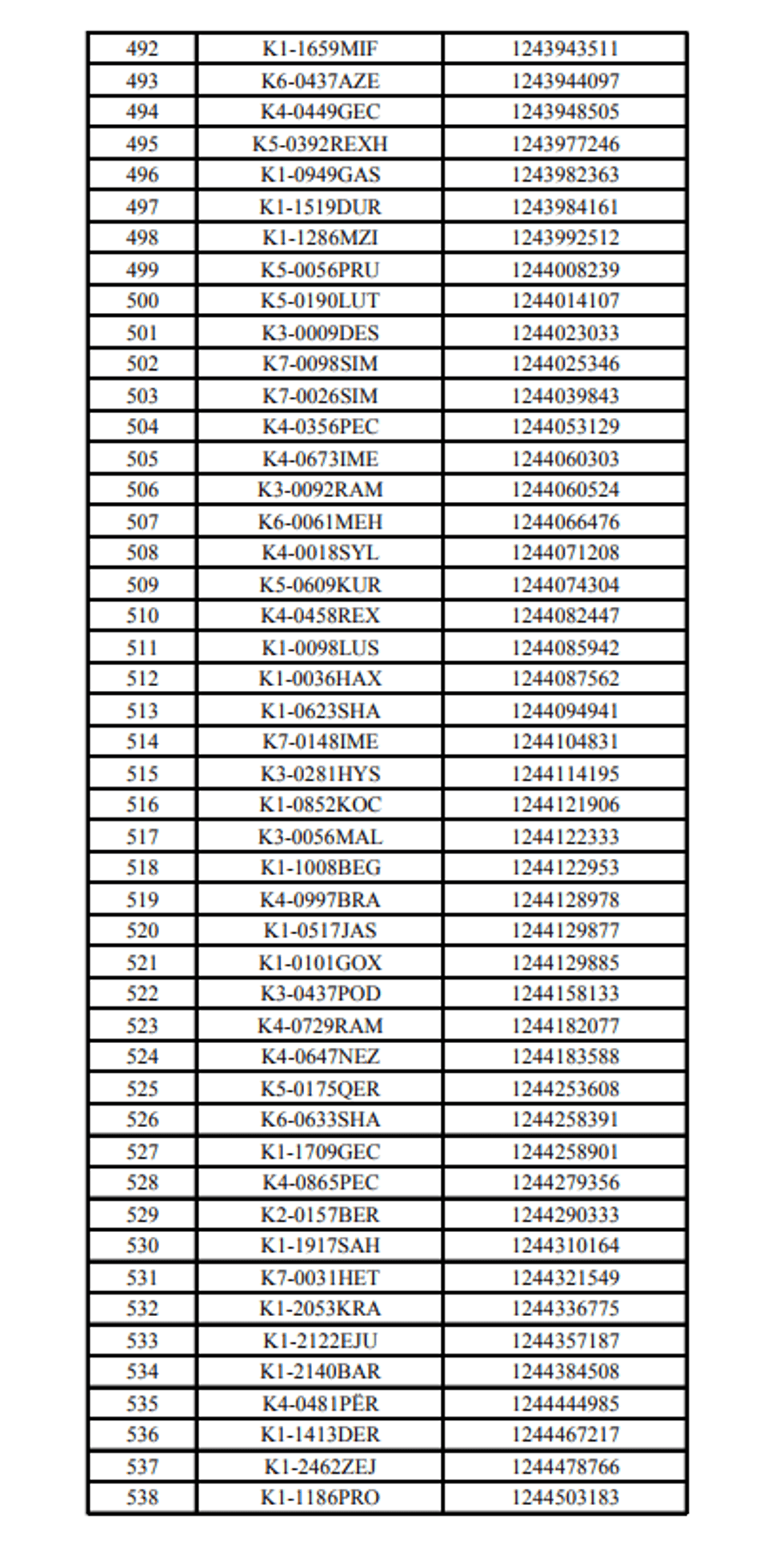
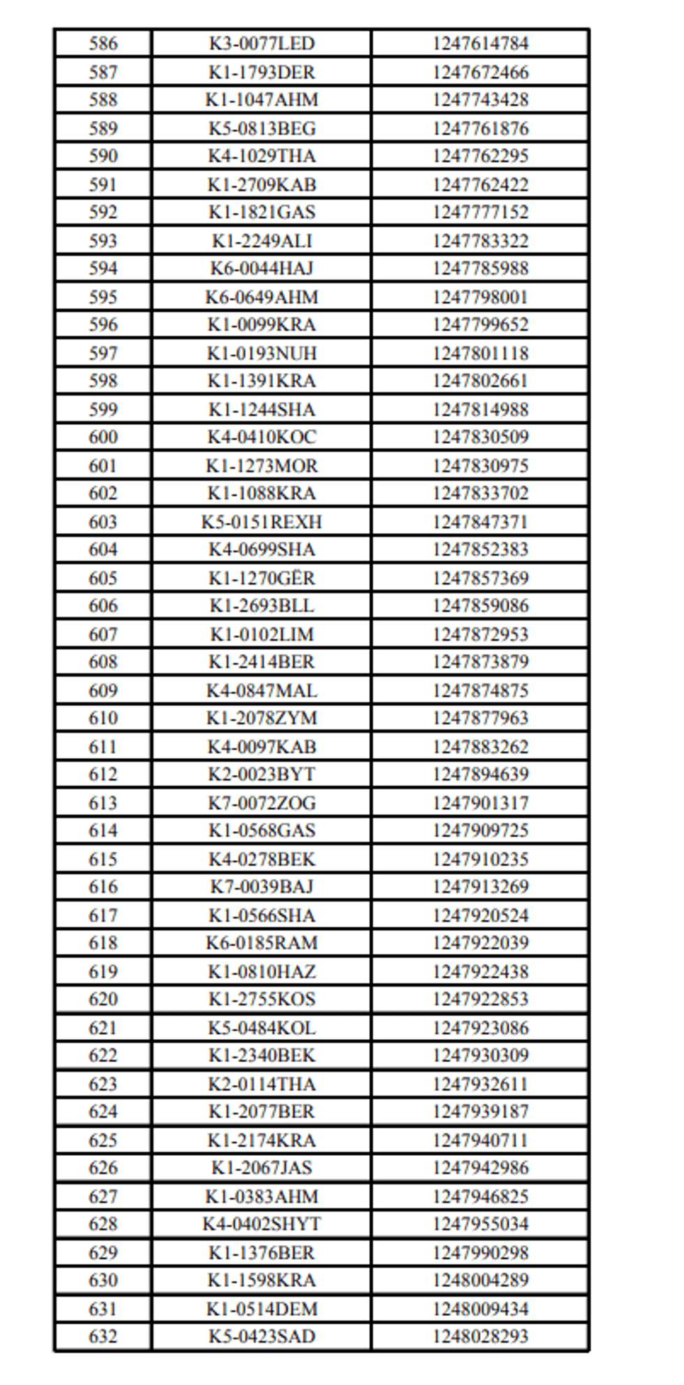
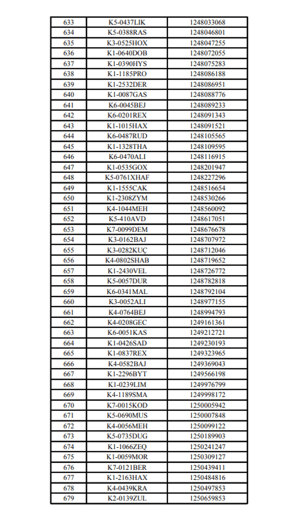
Ministria e Mbrojtjes së Kosovës përmes një njoftimi në faqen e saj zyrtare ka bërë publike listat e kandidatëve të cilët kanë kaluar fazat e deritanishme të testimeve për rekrut në Forcën e Sigurisë së Kosovës.
Në këtë listë të publikuar nga Ministria e Mbrojtjes janë gjithsej 687 kandidatë të cilët pas kalimit të fazave të deritashme tani do t'i nënshtrohen edhe kontrollit mjekësor.
Po ashtu në këtë njoftim thuhet se kandidatët të cilët nuk kanë kaluar fazat e deritanishme të përzgjedhjes, kanë të drejt që t'i shohin rezultatet e tyre në të gjitha fazat e testimit të tyre.
Klikoni KËTU për ta shikuar listën./Telegrafi/
Nga
Telegrafi
03/05/2019
Top Lajme
Promo Reklamo këtu
Jobs
Real Estate





































































