Kryetari i Skenderajt, Fadil Nura merr me qira një veturë 'Audi Q5' “për nevojat e komunës”

Komuna e Skenderajt, e cila udhëhiqet nga Fadil Nura, në fund të muajit mars ka nënshkruar një kontratën për marrjen e një veture me qira.
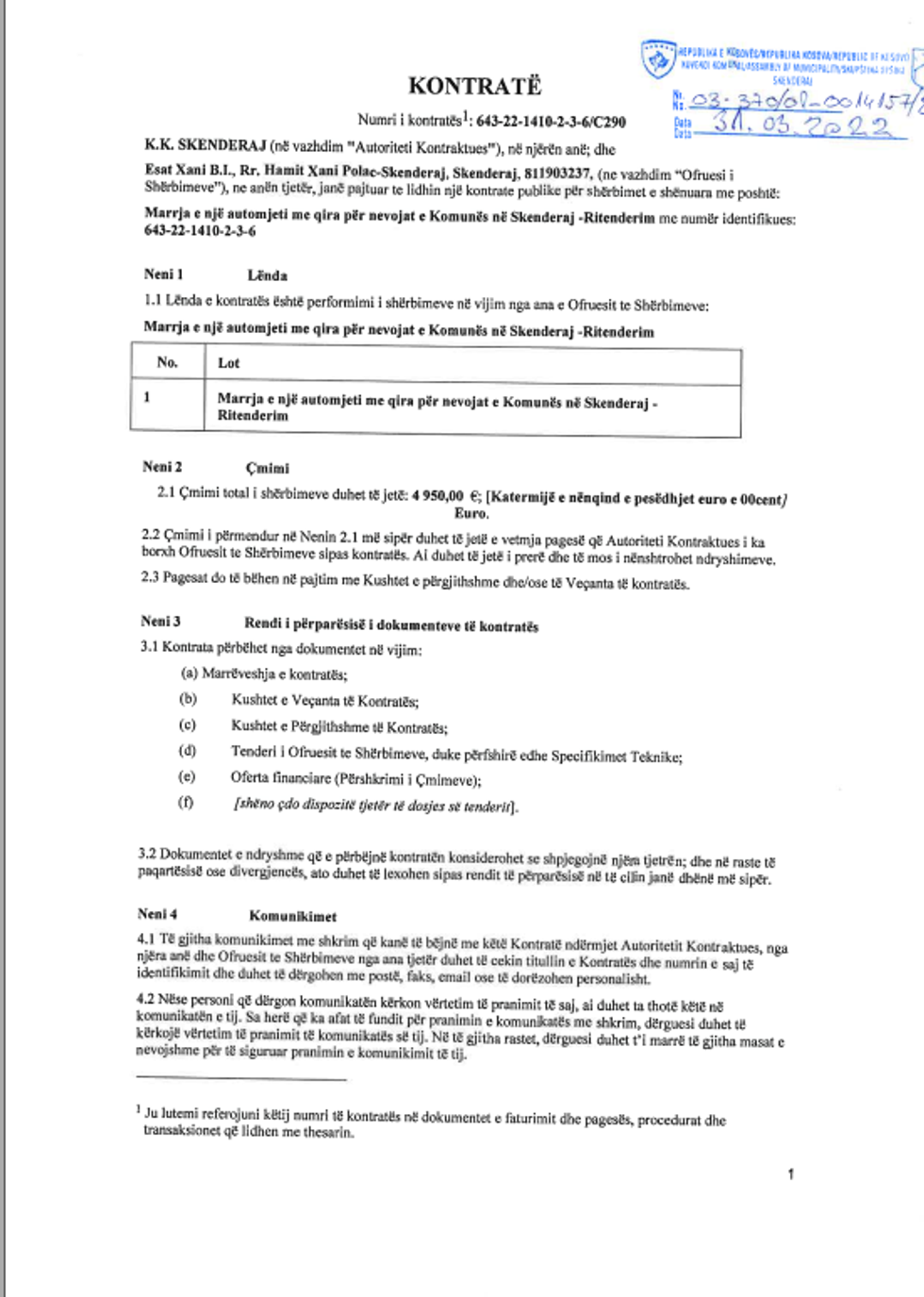
Vetura e marrë me qira është e llojit “Audi Q5” dhe vlera e qirasë është 4,950 euro, sipas kontratës së publikuar në e-prokurim.
Procedurat e tenderimit kanë shkuar me çmim të kuotimit. Fitues i tenderit është shpallur autosalloni “Esat Xani B.I”.
I pari i Skenderajt, Fadil Nura, bëri të ditur për KALLXO.com se pagesa prej 4,950 euro do të jetë për 12 muaj.
Kryetari Nura ka deklaruar se viti i veturës është 2012. Sipas tij, këtë veturë e kanë marrë për nevoja të Komunës.
Ai thotë se kjo veturë është ekonomike, teksa shtoi se për shkak të gjendjes jo të mirë të automjeteve zyrtare, po planifikon që të investojnë në vetura të reja.
“[Pagesa] vjetore është. Gjendja është shumë e rëndë me automjete, domethënë nuk është investuar që dhjetë vite dhe kemi pas nevojë për nevoja të Komunës i kemi marrë për këtë vit, i kemi pa të arsyeshme. Në kuadër të KAB-it kam paraparë me planifiku buxhet me i ble veturat e reja që do të jenë në shërbim të zyrtarëve të Komunës. Kemi problem jashtëzakonisht të madh për me funksionu si administratë. E vjetër është [Vetura Audi Q5). Është model i vjetër por që shpenzon më pak, domethënë motorin e ka 2.0. E kemi marrë më ekonomik që është e që nuk kemi pas qare pa e marrë. Është në funksion për drejtorë, nuk është e caktune as për mua as për nënkryetarin, është kryesisht për nevoja të administratës”, u shpreh Nura.
Kryetari i Skenderajt tha se aktualisht kanë pesë vetura të lloji “Golf” që janë blerë në vitin 2009.
“Janë diku 5 ‘Golf’-a që janë ble kur kemi qenë ne në 2009-tën, e që janë më shtrenjtë të kushton mirëmbajtja e tyre se me ble të ri”, u shpreh tutje ai.






















































