Londër-Sydney për dy orë, fluturimi përmes hapësirës i realizueshëm brenda 10 viteve - pasagjerët do të përballen me forcat G gjatë ngritjes dhe uljes

Kohët e fluturimeve komerciale mund të shkurtohen më shumë se 20-fish me një dekadë, pas planeve ambicioze për të transportuar pasagjerë në vende të tjera përmes hapësirës.
Ekspertët e aviacionit po hulumtojnë se si qytetarët e zakonshëm do të përballonin periudha të shkurtra në gravitetin zero gjatë udhëtimeve të gjata, si midis Mbretërisë së Bashkuar dhe Australisë, transmeton Telegrafi.
Në mënyrë tipike, një fluturim nga Londra në Sidnei me një aeroplan komercial zgjat më shumë se 22 orë, por fluturimet suborbitale do ta shkurtonin këtë në vetëm dy orë, duke thyer rekordin e vendosur nga Concorde në 1985.
Megjithatë, pasagjerët do të përballeshin me forcat G gjatë ngritjes dhe uljes, ndërsa graviteti zero në mes të fluturimit do të nënkuptonte se ata do të duhej të mbanin rripat e sigurimit të lidhur.
Udhëtarët gjithashtu mund të këshillohen të mbajnë sediljen e tyre të anuar mbrapa gjatë nisjes, dhe 'të shtrëngojnë të pasmet' ndërsa largohen dhe rihyjnë në atmosferën e Tokës.
Sipas Times, Autoriteti i Aviacionit Civil në Mbretërinë e Bashkuar (CAA) ka kryer një studim që shqyrton efektet e fluturimeve hapësinore suborbitale në trupin e njeriut.
Botuar në revistën Aerospace Medicine and Human Performance, zbuloi se shumica e njerëzve mund të përballen me forcat G të fluturimeve hapësinore suborbitale, megjithëse mund të ketë 'përgjigje fiziologjike' potencialisht problematike.
“Fluturimet komerciale hapësinore suborbitale janë tani të disponueshme për turizëm dhe kërkime shkencore, dhe në fund parashikohet që të maturohen në udhëtime jashtëzakonisht të shpejta pikë-për-pikë – p.sh. Londër-Sidnei në më pak se 2 orë”, thonë ata.
Ashtu si për udhëtimin ajror, kërkohet një njohuri e fortë themelore e fiziologjisë themelore të fluturimit për të informuar vendimmarrjen mjekësore dhe për të maksimizuar qasjen e sigurt në fluturimet suborbitale.
"Profilet e nxitimit nënborbital përgjithësisht tolerohen mirë, por nuk janë fiziologjikisht të parëndësishëm".
Dr Ryan Anderton, drejtuesi mjekësor i AAC-së për fluturimin në hapësirë, i tha Times se "padyshim nuk ishte fantashkencë" dhe do të ndodhte "shumë më shpejt nga sa mendojnë njerëzit... sigurisht më pak se 10 vjet".
Ai pason një raport që thotë se turistëve hapësinorë duhet t'u ndalohet të bëjnë seks në hapësirë, ndërsa ne hyjmë në një epokë të re të 'turizmit hapësinor' që përfshin fluturime suborbitale dhe orbitale.
Fluturimet suborbitale përkufizohen si ato që hyjnë në hapësirë, por nuk kanë shpejtësi të mjaftueshme për të qëndruar atje, që do të thotë se automjetet nënorbitale kthehen në tokë.
Ato janë në kontrast me fluturimet orbitale, të cilat kanë një trajektore më të fuqishme në mënyrë që të mund të qëndrojnë në hapësirë dhe të orbitojnë Tokën të paktën një herë – siç është rasti me stacionet hapësinore ose satelitët.
Fluturimet suborbitale, si ato të ofruara tashmë nga Virgin Galactic i Richard Branson, kushtojnë aktualisht më shumë se 350,000 funte për person.
Por rregullatorët kanë parashikuar që së shpejti ato do të jenë më pak të shtrenjta, duke u bërë përfundimisht një opsion udhëtimi ndërkontinental i qasshëm për këdo.
Ekspertët mendojnë se fluturimet komerciale suborbitale midis vendeve mund të ndodhin 'brenda dekadës', edhe pse hulumtimi është ende në vazhdim - por saktësisht se sa do të kushtojnë ato është e paqartë.
Pra, si do të funksiononin këto fluturime?
Një fluturim komercial suborbital do të ngrihej nga një vend nisjeje i përshtatur posaçërisht në një aeroport ekzistues (siç është London Heathrow) ose një me më shumë hapësirë që është më i përshtatshëm për nisjet e udhëtimeve në hapësirë (siç është Porti Hapësinor Cornwall).
Pasagjerët do të shpërthenin në hapësirë në bordin e një anijeje suborbitale të ngjashme me Dream Chaser, një aeroplan hapësinor që po zhvillohet nga firma amerikane Sierra Space, ose VSS Imagine nga Virgin Galactic.
Dream Chaser – i cili u shfaq në Consumer Electronics Show vitin e kaluar – është projektuar për të transportuar deri në shtatë njerëz drejt dhe nga orbita e ulët e Tokës.
Por automjeti i zgjedhur mund të ketë një kapacitet më të madh se ky, më shumë në përputhje me kapacitetin e linjave komerciale të sotme, për ta bërë projektin me kosto efektive.
Ata në bord do të përjetonin forca G katër herë më të madhe se forca e gravitetit të Tokës, e njohur si 4G – për të mos e ngatërruar me standardin e komunikimit celular.
Kjo periudhë e 4G do të zgjaste për 20 deri në 30 sekonda pas momentit të shpërthimit, sipas studimit, por më pas do të ulet.
Jo shumë kohë pas ngritjes, automjeti do të hynte në një periudhë të mikrogravitetit, që do të thotë se udhëtarët mund të duhet të lidhen në sediljet e tyre për t'i ndaluar ata të fluturojnë përreth.
Ndërsa automjeti arrin destinacionin e tij, forcat G do të arrinin kulmin në gjashtë herë (6G) gjatë zbritjes për rreth 10 deri në 15 sekonda.
Ky mund të jetë një problem sepse mbi 5G, pilotët dhe pasagjerët rrezikohen të humbin vetëdijen nëse forcat shkaktojnë që gjaku të rrjedhë nga kokat e tyre.
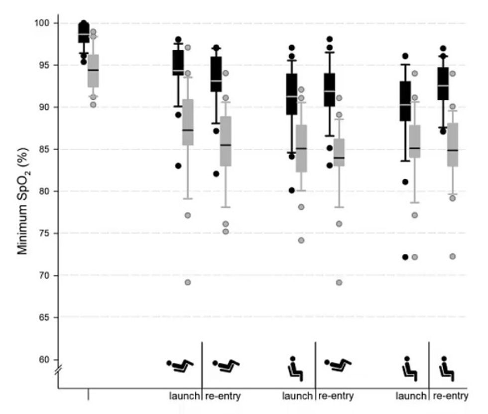
Hulumtimi i ri, i kryer me King's College në Londër dhe i lehtësuar nga RAF (Forcat Ajrore Mbretërore), testoi kufijtë e qytetarëve normalë dhe të shëndetshëm.
Shkencëtarët vendosën 24 njerëz të shëndetshëm të moshave të ndryshme, brenda një centrifuge njerëzore në RAF Cranwell në Lincolnshire.
Centrifugat njerëzore janë dhoma të mëdha rrotulluese që simulojnë efektet e përshpejtimit të lartë, të përshkruara në mënyrë të paharrueshme në filmin e James Bond të vitit 1979, Moonraker.
Kur u ekspozuan ndaj forcave G të stilit të lëshimit në hapësirë, studiuesit zbuluan se pjesëmarrësit treguan 'ndryshime shumë dinamike' në rrahjet e zemrës, presionin e gjakut dhe prodhimin kardiak, si dhe hipoksemi - një nivel i ulët i oksigjenit në gjak.
Megjithëse rritja e moshës u shoqërua me hipoksemi më të madhe dhe reduktim të prodhimit kardiak, ajo nuk pati efekte të dëmshme kardiovaskulare.
Megjithatë, simptomat e frymëmarrjes dhe ato vizuale ishin të zakonshme, me 88 për qind të subjekteve që raportuan 'të thinjura' - një errësim ose mjegull shikimi.
Një nga 24 pjesëmarrës përjetoi humbje të vetëdijes të shkaktuar nga forca G (G-LOC) edhe pse u rikuperuan pasi forca G u zvogëlua.
Kjo sugjeron që një udhëtar suborbital mund të humbë vetëdijen gjatë ngritjes dhe uljes, por përndryshe do të ishte mirë gjatë fluturimit.
Studiuesit zbuluan gjithashtu se efektet fiziologjike përgjithësisht u zvogëluan kur sedilja u ‘titullua’ (dihet tashmë se ulja në një kënd mund të rrisë tolerancën e forcës G). /Telegrafi/


























































