Kosova dhe Edi Rama përmenden në hetimet kundër ish-zyrtarit të lartë të FBI-së për lidhjet me Rusinë

Ish-agjenti i nivelit të lartë të FBI-së, i cili ishte i përfshirë në hetimin për kontaktet e fushatës së Donald Trump me Rusinë gjatë zgjedhjeve të vitit 2016, është vënë vetë nën hetimet e prokurorëve federalë për lidhjet e tij me Rusinë dhe qeveritë e tjera të huaja.
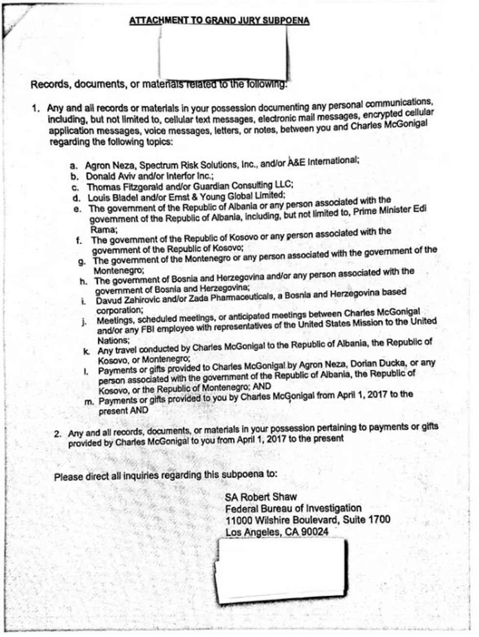
Këtu përmendet edhe kryeministri i Shqipërisë, Edi Rama dhe lidhjet e tij me ish-zyrtarin e lartë.
Në fund të vitit të kaluar, sipas dokumenteve të brendshme të gjykatës të siguruara nga Insider, avokatët amerikanë mblodhën fshehurazi një juri të madhe që shqyrtoi sjelljen e Charles McGonigal, ish-kreut të kundërzbulimit në zyrën për terren të FBI-së në qytetin e New Yorkut.
Departamenti i Drejtësisë nuk pranoi të komentonte se çfarë po hetonte juria e madhe, por një thirrje dëshmitari e siguruar nga Insideri duket se tregon se qeveria, pjesërisht, po shqyrtonte marrëdhëniet e biznesit të McGonigal me një ndihmës të lartë të Oleg Deripaska, oligarku, miliarder rus i cili ishte në qendër të akuzave se Rusia ka bashkëpunuar me fushatën e Trumpit për ndërhyrjeje në zgjedhjet e 2016-së, transmeton Telegrafi.
Thirrja, e lëshuar në muajin nëntor, kërkon të dhëna në lidhje me McGonigal dhe një firmë konsulente në hije të quajtur Spectrum Risk Solutions. Një javë pas lëshimit të thirrjes, një emigrant me origjinë sovjetike i quajtur Sergey Shestakov tha në një dosje të veçantë se McGonigal e kishte ndihmuar atë të "lehtësonte" një hyrje midis Spectrum dhe ndihmësit të Deripaska. Në dosje thuhet gjithashtu se McGonigal ndihmoi në prezantimin e ndihmësit me Kobre & Kim, një firmë ligjore në New York që është e specializuar në përfaqësimin e klientëve që po hetohen me dyshimin për "mashtrim dhe sjellje të pahijshme". Shestakov, i cili është identifikuar në panelet televizive si një ish-zyrtar i ministrisë së jashtme sovjetike dhe ish-shefi i shtabit të ambasadorit sovjetik në Kombet e Bashkuara, raportoi se kishte marrë 33 mijë dollarë për referimet.
Ndonëse nuk do të kishte qenë domosdoshmërish e paligjshme që McGonigal të punonte në emër të Deripaskës, moszbulimi i aktiviteteve të mbuluara nga Akti i Regjistrimit të Agjentëve të Huaj, si lobimi dhe marrëdhëniet me publikun, dënohet me gjobë 250 mijë dollarë dhe deri në pesë vjet burg. Deripaska u sanksionua nga Departamenti i Thesarit në vitin 2018 për veprimin e agjentit të Kremlinit dhe është akuzuar për urdhërimin e vrasjes së një biznesmeni.
“Nëse McGonigal ngatërrohet në ndonjë formë apo formë me Deripaskën, kjo më duket si e pahijshme, për ta thënë me mirësjellje”, thotë Tim Weiner, autori i “Armiqtë: Historia e FBI”.
As McGonigal dhe as ata me të cilët ai përmendet nuk iu përgjigjën kërkesave për koment nga Insider. "Kjo nuk është një zonë ku ne mund të japim një deklaratë në këtë moment", tha një përfaqësues për Kobre&Kim.
Nuk është e qartë nëse McGonigal është një objektiv i hetimit të jurisë së madhe, apo thjesht një subjekt, aktivitetet e të cilit janë disi të lidhura me të. Dhe nuk ka asgjë në dokumentet e gjykatës apo diku tjetër që të sugjerojë se McGonigal u soll në mënyrë të papërshtatshme gjatë hetimit të FBI-së për fushatën e Trumpit.
Por materialet e kërkuara në thirrjen e dëshmitarit ngrenë pikëpyetje nëse një agjent i lartë i FBI-së mund të ketë përgjuar lidhjet që ai ka bërë gjatë viteve të shërbimit të tij publik për përfitime private. Dhe çfarëdo qofshin veprimet e McGonigal, fakti që ai është përfshirë në një hetim të jurisë së madhe është shumë i pazakontë. Sipas një ish-zyrtari të lartë në Departamentin e Drejtësisë, i cili kërkoi të mos identifikohej, prokurorët pothuajse kurrë nuk i konsiderojnë akuzat kundër dikujt kaq të lartë në FBI. “Është shumë e rrallë që ish-njerëzit e FBI-së, dhe sigurisht ish-njerëz të lartë të FBI-së, të përfundojnë si objektiva të jurisë së madhe”, tha zyrtari.
Shqyrtimi federal i McGonigal është veçanërisht i habitshëm duke pasur parasysh punën e tij në FBI, transmeton Telegrafi.
Para daljes në pension të tij në vitin 2018, McGonigal drejtoi hetimin e WikiLeaks ndaj Chelsea Manning, arrestoi këshilltaren e sigurisë kombëtare të Bill Clinton, Sandy Berger për heqjen e materialeve të klasifikuara nga një dhomë leximi e Arkivit Kombëtar. Në vitin 2016, kur u shfaqën raporte se Rusia kishte hakuar sistemin e postës elektronike të Komitetit Kombëtar Demokratik, McGonigal po shërbente si shef i seksionit të krimeve kibernetike në selinë e FBI-së në Uashington. Në atë cilësi, ai ishte një nga zyrtarët e parë që mësoi se një zyrtar i fushatës së Trump ishte mburrur se rusët kishin papastërti mbi Hillary Clinton, duke ndezur hetimin e njohur si Operacioni Crossfire Hurricane. Më vonë atë vit, drejtori i FBI-së James Comey promovoi McGonigal për të mbikëqyrur operacionet e kundërzbulimit në New York.
Sipas thirrjes së dëshmitarit, prokurorët po shqyrtojnë gjithashtu nëse McGonigal ka lidhje me qeverinë e Bosnjë dhe Hercegovinës, si dhe ndonjë "pagesë apo dhuratë" që i është dhënë nga qeveritë e Kosovës, Malit të Zi dhe Shqipërisë.
Dy burime i thanë Insiderit se McGonigal ishte i afërt me Edi Ramën, i cili është kryeministër i Shqipërisë që nga viti 2013. Sipas një emaili të rishikuar nga Insiderit, McGonigal përdori llogarinë zyrtare të emailit të FBI-së për të tentuar të organizonte një takim mes Ramës dhe një firme amerikane që kryeministri po mendonte të punësonte për një nismë kundër korrupsionit. Në fund, FBI nuk i dha miratimin McGonigal për takimin dhe ai nuk u zhvillua kurrë.
Një përfaqësues i Ramës tha se marrëdhënia e kryeministrit me McGonigal ishte "një marrëdhënie miqësore tërësisht private pa interes publik. Ne nuk kemi asnjë ide për ndonjë juri të madhe dhe asnjë autoritet amerikan nuk na ka kontaktuar ndonjëherë për këtë. Nuk ka pasur kurrë takime me firma. dhuratat, pagesat, rimbursimet e udhëtimit përpara ose pasi zoti McGonigal të largohej nga puna".
Që kur u largua nga FBI, McGonigal ka vazhduar të tregtojë ekspertizën e tij në kundërzbulim. Në vitin 2020, muaj pas ndihmës së raportuar të tij për ndihmësin e Deripaskës, ai u shfaq në një panel në Këshillin Atlantik, ku dënoi korrupsionin e shërbimeve të sigurisë ruse. "Ju po shihni një erozion në çdo shtet të së drejtës që lidhet me FSB-në", tha ai. "Do të ishte e ngjashme me të pasurit në Shtetet e Bashkuara FBI-në si një element mashtrues, që vepron me urdhër të ofertuesit më të lartë", shtoi ai.
Profili i McGonigal në LinkedIn thotë se ai është nënkryetari i lartë i "sigurisë globale dhe sigurisë së jetës" në Brookfield Properties, një kompani shumë miliarda dollarësh e pasurive të paluajtshme në New York. Por ky informacion, me sa duket, është i pasaktë. “Charlie McGonigal nuk është më me Brookfield”, tha Andrew Brent, shefi i komunikimit i Brookfield, për Insider. McGonigal u largua nga kompania, shtoi ai, në fillim të janarit - pikërisht kur dëshmitarët ishin planifikuar të dilnin para jurisë së madhe. /Telegrafi/






















































