Kështu i shpenzuan parat e shtetit Kusari-Lila e Muhaxheri

Kryetarja e Komunës së Gjakovës, Mimoza Kusari - Lila, vetëm për dreka zyrtare ka shpenzuar vitin e kaluar mbi 15 mijë euro. Ndërkaq, për udhëtime jashtë vendit ka marrë 4 mijë euro mëditje.
Këto janë disa nga shpenzimet që e para e Gjakovës i ka realizuar me para të taksapaguesve gjatë vitit 2015, raporton Gazeta Fjala. Më kursimtar nuk është treguar as kolegu i saj, nga Komuna e Pejës Gazmend Muhaxheri. Megjithëse, nuk i ka specifikuar shpenzimet që ka bërë gjatë vitit të kaluar, komuna e drejtuar nga Muhaxheri del se ka shpenzuar mbi 900 mijë euro. Shihet se 32 mijë euro janë harxhuar vetëm për dreka zyrtare.
Derisa, në investime kapitale zyra e kryetarit i ka shpenzuar 432 mijë euro, transfere dhe subvencione 325 mije euro, për paga e mëditje 108 dhe në mallra e shërbime 37 mijë euro. Komuna e drejtuar nga Kusari Lila ka shpenzuar në total 20 milionë e 104 mijë. Ndërkohë që komuna e Gazmend Muhaxheri shpenzoi 21 milionë e 146 mijë euro.
Shpenzimet tjera të dy komunave
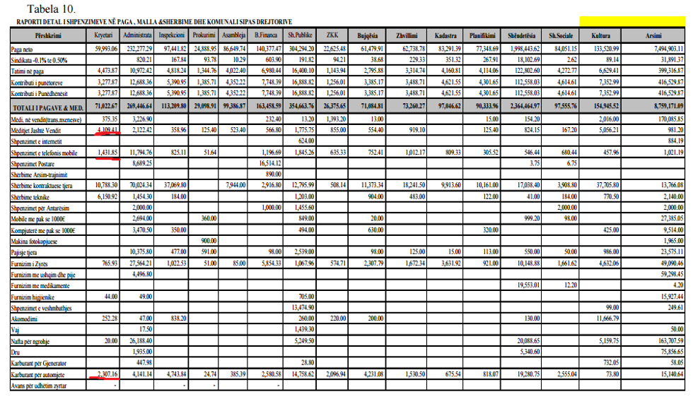
Nga zyra e kryetares Mimoza Kusari - Lila në total janë shpenzuar mbi 169 mijë euro.
E para e Gjakovës gjatë tërë vitit ka shpenzuar dy mijë euro në telefon, kurse e tërë administrata e komunës ka shpenzuar, gati gjashtë mijë euro.
Derisa, karburantet për automjetin e Lilës, kanë kushtuar, 2 mijë e 307 euro. Jo, pak i kanë kushtuar edhe botimet publike, 649 është shuma që e para e Gjakovës, ka ndarë për to. Shërbimet kontraktuese kalojnë shifrën 10 mijëshe, përderisa ato teknike, afër 7 mijë euro shkruan Gazeta Fjala. Administrata e komunës mbi 557 mijë euro, inspeksioni mbi 161 mijë euro, asambleja mbi 110 mijë euro.
Në arsim janë shpenzuar 9,897,804.66 euro. Shëndetësi 2,780,699.78. Shërbime publike 2,348,781.30. Zhvillim ekonomik 1,768,744.63. Kadastra 287,664.24. Shërbime sociale 126,509.19. Kulturë 476,992.28.
Derisa Gazmend Muhaxheri i Pejës, ka shpenzuar mbi 900 mijë euro, e tërë komuna e Pejës udhëtimet e kanë kaluar 32 mijëshin.
Vetëm për udhëtime brenda vendit, janë shpërblyer gati me 13 mijë euro, përderisa në ato jashtë vendit, kanë marrë vetëm 3 mijë euro.
Për mëditje, jashtë vendit, janë dhënë mbi 12 mijë euro. Në shpenzime tjera janë përfshirë mbi tre mijë euro, përderisa akomodimi gjatë këtyre udhëtimeve u ka kushtuar një mijë euro.
Administrata e komunës së Pejës ka shpenzuar më së shumti, me 981 mijë euro. Inspeksioni gati 190 mijë. Asambleja Komunale, ka harxhuar mbi 148 mijë euro, përderisa zyra e komuniteteve gati 168 mijë. Nga drejtoria e arsimit janë shpenzuar gati 10 milionë euro, për punë komunale e shërbime teknike janë shpenzuar gati 3 milionë. E, 3 milionë, është shuma që shëndetësia ka shpenzuar nga buxheti i Komunës, përderisa Kultura ka harxhuar gati 570 mijë euro. /Gazeta Fjala/Telegrafi/
























































