Ministria e Mbrojtjes publikon rezultatet e kandidatëve që kanë kaluar fazën e parë të testimeve për FSK (Foto)

14:"Ridvan Slivova
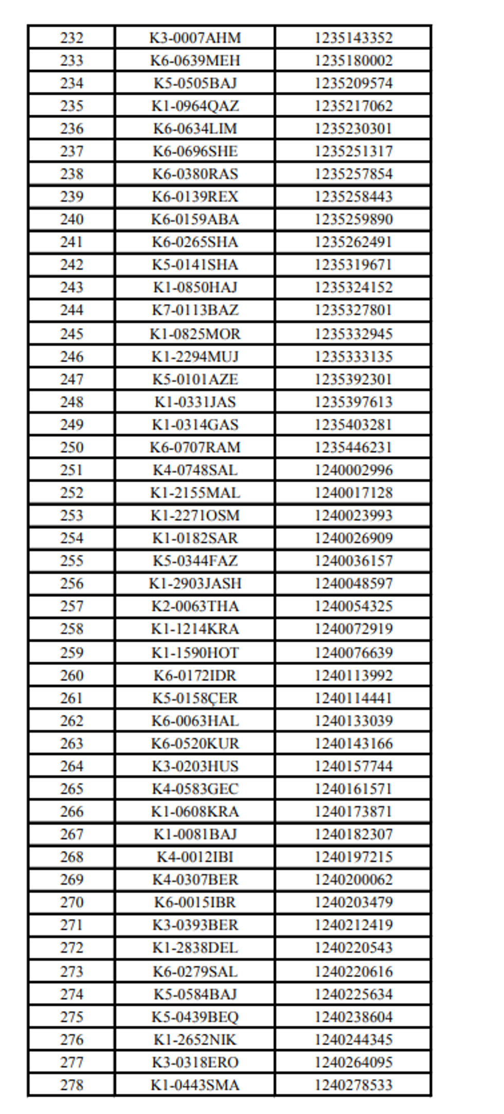
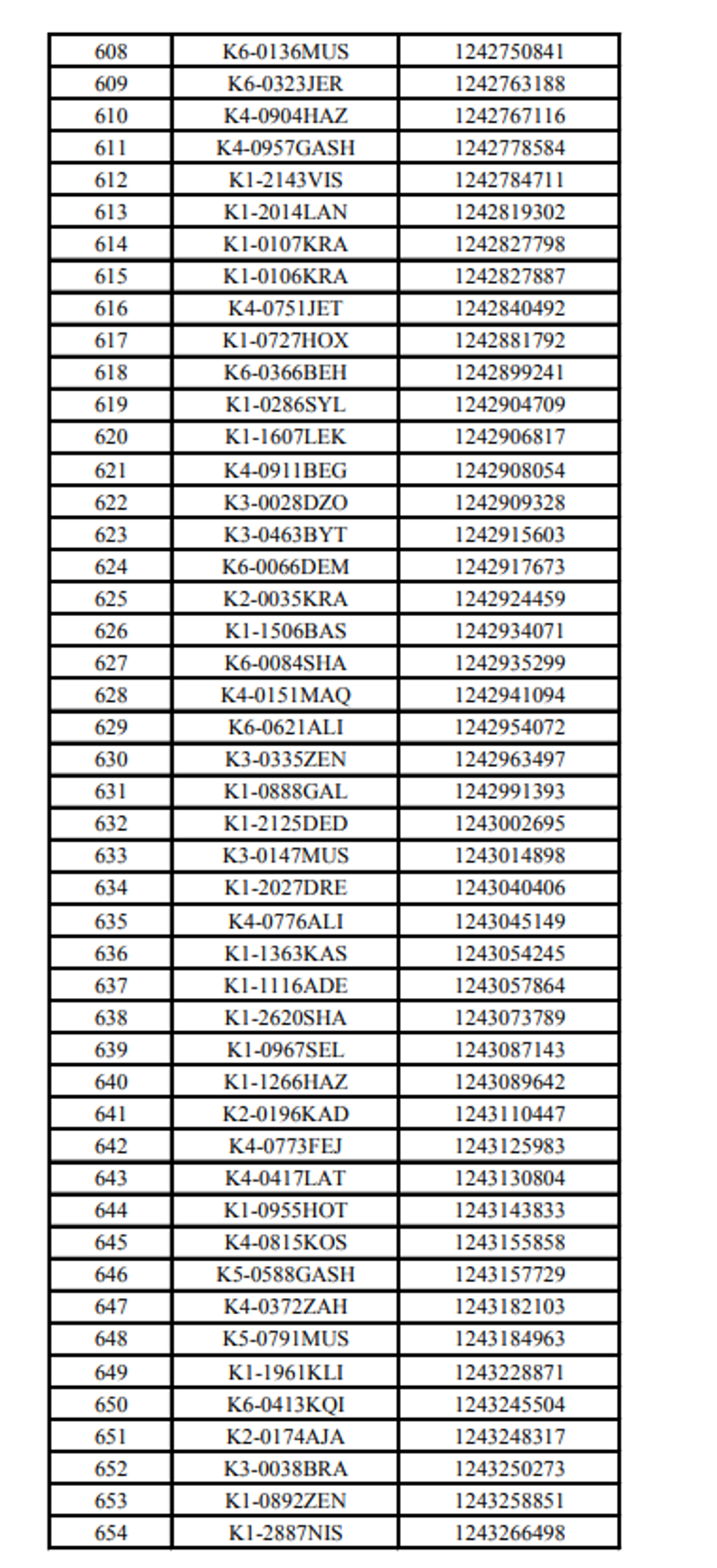
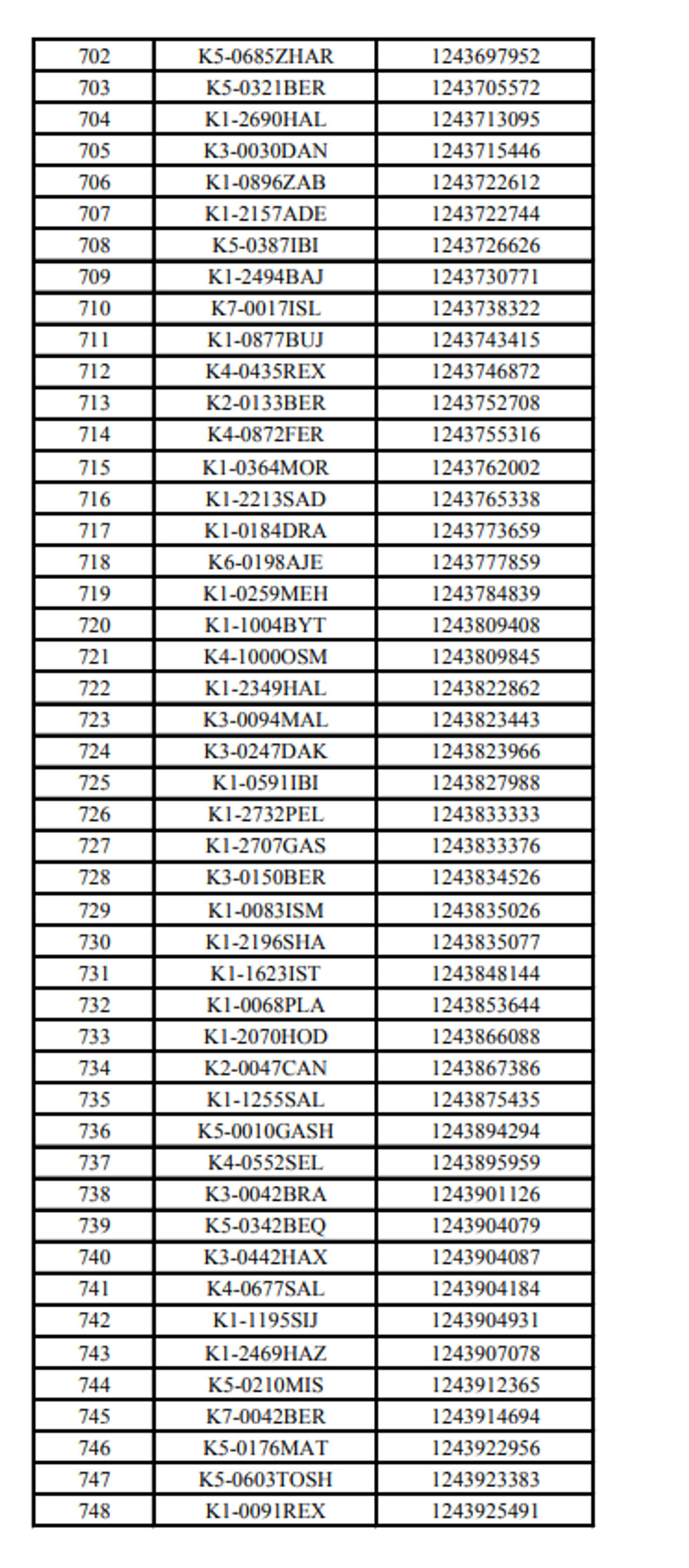
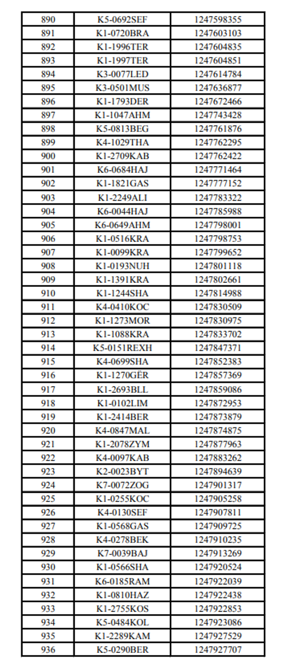
Ministria e Mbrojtjes ka njoftuar të gjithë kandidatët të cilët kanë kaluar fazën e parë të testimeve për të qenë pjesë të FSK-së.
Në këtë njoftim është publikuar lista e kandidatëve të cilët janë përzgjedhur për të ju nënshtruar testit të radhës, apo intervistës.
Në njoftim thuhet se plani, orari dhe vendi i intervistës do të publikohet më së voni deri të premten, datë 19.04.2019.
KËTU mund t'i shihni listat e kandidatëve të përzgjedhur./Telegrafi/
Nga
Telegrafi
17/04/2019
Top Lajme
Promo Reklamo këtu
Jobs
Real Estate











































































