Qeveria e 'zero investimeve kapitale', kritikat e opozitës për mosrealizim – kjo është lista e plotë e projekteve

Qeveria e Kosovës po vazhdon të kritikohet për mosrealizimin e projekteve të investimeve kapitale, ku sipas opozitës dhe njohësve të ekonomisë, realizimi i tyre është pothuajse zero për qind.
Lidhja Demokratike e Kosovës (LDK) me anë të një konference për medie ka theksuar se disa nga ministritë e Qeverisë Kurti, në pjesën e parë të vitit aktual nuk kanë realizuar asnjë investim kapital, por se ky pretendim është kundërshtuar nga ministri i Financave, Hekuran Murati, shkruan Telegrafi.
LDK thotë se në bazë të Raportit Financiar të Thesarit të Kosovës, investimet kapitale në periudhën gjashtëmujore janë vetëm 9 për qind, ku sipas tyre është më e ulta në dhjetë vitet e fundit.
“Ky raport shpërfaq me fakte dhe numra paaftësinë qeverisëse të pushtetit. Ndërkaq, mosefikasiteti i Qeverisë në realizimin e projekteve kapitale po përkthehet me rënie ekonomike, mbyllje biznesesh, humbje të vendeve të punës, rritje të varfërisë si dhe dëmtim zinxhiror në të gjitha fushat e kapluara nga kriza”, u tha nga LDK-ja.
Sipas partisë opozitare, janë katër ministri – Ekonomisë, Industrisë e Tregtisë, Administrimit Lokal dhe ajo e Financave – që investimet kapitale i kanë zero euro.
“Ministria e Ekonomisë, me buxhet vjetor për investime kapitale prej 16,154,144 euro i ka shpenzuar 0 për qind. Ekonomia nuk e duron populizmin, sepse gjithçka që shumëzohet me zero – zero mbetet. Ministrisë e Industrisë, Ndërmarrësisë dhe Tregtisë nga 4,470,000 euro, realizmin e ka zero. Pra, Qeveria zgjedh të investojë zero për Industrinë, zero për Ndërmarrësinë dhe zero për Tregtinë. Ministria e Administrimit të Pushtetit Lokal, por edhe Ministria e Zhvillimit Rajonal kanë realizuar 0 për qind buxhet për investime kapitale. Kështu që, 38 komuna kanë zero realizim në investime kapitale. Ministria e Financave, Punës dhe Transfereve nga 103,291,413 euro ka arritur te realizojë vetëm 1 për qind ose 587,211 euro. Për 47 projekte të rëndësishme realizimi është zero”, thuhet në reagim.
Por, ndryshe nga LDK-ja dhe ekspertët e ekonomisë, ministri Murati ka deklaruar se kjo është një fushatë agresive e opozitës dhe disa medieve në vend.
“Pagesat që shteti bën, qoftë në formë të pagave, pensioneve, mallrave që blen, apo edhe investimeve kapitale, që të gjitha kontribuojnë në ekonominë e vendit. Ditëve të fundit, nga opozita por edhe nga disa media, kemi parë një fushatë agresive e cila pretendon se qeveria ka bllokuar ekonominë, sepse nuk po shpenzon. Mirëpo, të dhënat, nga po ai raport të cilit i referohet opozita, tregojnë të kundërtën”, ka shkruar Murati.
“Periudha 6-mujore e parë e vitit 2022, për sa i përket shpenzimit është më e lartë se të gjitha vitet paraprake, madje edhe më e lartë se viti 2021, kur kishte edhe zgjedhje. Pra, argumenti se qeveria nuk po e mbështetë ekonominë e vendit, nuk qëndron aspak, sepse siç edhe mund të shihet nga grafiku, shpenzimet dhe pagesat nga buxheti i shtetit janë më të lartat ndonjëherë”, shton ai.
Agron Demi, analist i politikave në Institutin për Studime të Avancuara GAP, ka fajësuar Qeverinë e Kosovës, për të cilën tha se nuk e ka trajtuar fare sfidën e rritjes së çmimeve në materialet ndërtimore.
“Realizimi i investimeve kapitale në gjashtë mujorin e parë të 2022 është në nivelin më të ulët të mundshëm, madje shkallë kaq e ulet e investimeve nuk është shënuar as në vitin 2020 kur për shumë ditë kemi qenë të mbyllur. Fajtor kryesor për këtë është rritja e çmimeve në materialet ndërtimore, por për këtë faj të madh ka edhe qeveria, e cila nuk e ka trajtua këtë sfidë fare”, ka shkruar Demi në Facebook.
Lidhur me këtë janë deklaruar edhe ekspertët e ekonomisë, duke thënë se nga Qeveria e Kosovës nuk ka ndalje të “gjakderdhjes financiare” por se ka “bllokadë financiare”.
Ish-kryetari i Odës Ekonomike të Kosovës (OEK), Berat Rukiqi gjatë një interviste për Telegrafin pati theksuar se ka tendencë të krijohet një rezervë buxhetore dhe se qeveria duhet ta ketë një plan për zhbllokimin e këtyre investimeve.
“Ajo që ka ngecur është se Qeveria nuk shpenzon asnjë cent, tashmë disa muaj. Nëse flasim për ndalje të një gjakderdhje financiare, nuk do të thotë të ndalen të gjitha projektet. Ka tendencë të krijohet një rezervë buxhetore, pra ka një bllokadë”, pati thënë Rukiqi.
“Vendit i duhet një lëvizje më e shpejtë e parasë dhe nuk pritet që kjo të vjen nga remitencat apo nga konsumi i brendshëm, duhen edhe investimet e brendshme. Është urgjente që të ketë një plan të Qeverisë që të ketë zhbllokim të investimeve kapitale”, ka shtuar ai.
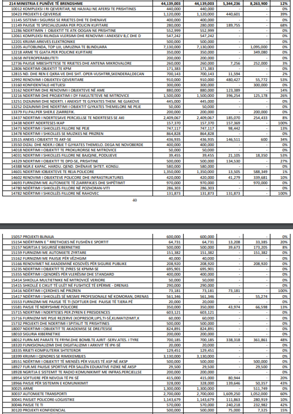
Lista e plotë e projekteve të realizuara të investimeve kapitale
Nga Raporti Gjashtëmujor Financiar i Ministrisë së Financave, shihet se disa nga ministritë nuk kanë realizuar shumicën e projekteve të parapara të investimeve kapitale.
Në shumë ministri përqindja e realizimit të projekteve është zero, e në disa progresi është vetëm me një përqindje të vogël.
Ministria e Infrastrukturës, për këtë periudhë gjashtë mujore, ka realizuar 15 për qind të projekteve kapitale, ndjekur nga Ministria e Arsimit me 10 për qind, ndërsa Ministria e Kthimit ka progresin më të madh prej 35 për qind.
Këtu mund ta shikoni listën e projekteve të investimeve kapitale të publikuar nga Thesari i Kosovës. /Telegrafi/




























































